EFV Logo E. Ferger Verlag
978-3-931219-55-0

Japan - Leitfaden.
Mentalität, Marketing und Management-Methoden in Japan

Autor:
  • Arnold Rive
E. Ferger Verlag, 2018
Buch; 118 Seiten, Format 25 x 18 cm, Softcover (broschiertes Buch), 22 Abbildungen, Liste wichtiger, soziokultureller, japanischer Begriffe in Romaji und Kanji mit deutscher Übersetzung
Preis: 20,00 EUR
Datenschutz AGBDie Lieferung von Büchern innerhalb Deutschlands erfolgt für Endkunden portofrei.

Erfahrungen aus mehreren Jahrzehnten praktischer Tätigkeit an der Front zwischen deutschen und japanischen Unternehmen sind hier systematisch und zielorientiert dargestellt:

Auf das Notwendige konzentriert wird die japanische Unternehmensführung als Ausdruck der Gesellschaftsstruktur erläutert. Daraus leitet der Verfasser stringent ab, wie man beim Marketing für Investitionsgüter in Japan vorzugehen hat. Eine detaillierte Warntafel für europäische Unternehmen listet ungeschminkt auf, was man in Japan unbedingt vermeiden sollte. Berichte aus dem Geschäftsalltag in Japan werden verbunden mit einem 20 Punkte-Profil der Japaner. Weiter geben Checklisten für die effiziente Führung eines Vertriebs- und Servicebüros sowie für den Aufbau von Fertigungs-Joint-Ventures zielorientierte Angaben über optimale Strategien und taktische Vorgehensweisen.

Eine Sammlung der wichtigsten soziokulturellen Begriffe im Japanischen mitsamt der entsprechenden Kanji-Zeichen komplettiert dieses Paket geballter Informationen. Pflichtlektüre für jeden Mittelständler, der über ein Engagement in Japan nachdenkt.

Inhaltsverzeichnis (als PDF herunterladen)

  1. Vorwort

  2. Bausteine der japanischen Unternehmensführung
    – zugleich Soziogramm der japanischen Gesellschaft –

    2.1 Gruppenmentalität
    2.2 Konkurrenzgesellschaft
    2.3 Starke nationale Identität
    2.4 Lebenslanges Lernen
    2.5 Klare, langfristige Zielsetzungen
    2.6 Puffersysteme
    2.61 KEIRETSU-System
    2.62 Nissan Motor und der Faktor Carlos Ghosn
    2.7 Motivation
    2.8 Entscheidungsfindung und Konsensbildung
    2.9 Strukturorganisation

  3. Marketing für Investitionsgüter in Japan

    3.1 Einführender Überblick
    3.2 Altbekannte Fehler vermeiden
    3.3 Schritte auf den japanischen Markt
    3.4 Spezielle Aspekte der Geschäftspraxis in Japan
    3.5 Weiterführende strategische Überlegungen

  4. Warntafel (Road Map) für den europäischen Mittelstand in Japan

    4.01 - 4.20 Marketing und Vertrieb
    4.21 - 4.22 Service
    4.23 - 4.32 Strategisches
    4.33 - 4.38 Fertigung
    4.39 - 4.41 Personal
    4.42 - 4.45 Interkulturelles
    4.46 - 4.47 Schluss

  5. Aus dem Geschäftsalltag in Japan / mit Japanern

    5.1 Individuelle Fälle
    5.2 Generelle Aspekte
    5.3 Das Drumherum vor, bei und nach den Verhandlungen
    5.4 Die 20 Merkmale der Japaner
    5.5 Erforderliche Japan-Affinität
    5.6 Der interkulturelle Spagat

  6. Verbesserung der Effizienz Ihres Vertriebs- und Servicebüros in Japan
    – Checkliste –

    6.01 Neueste Marktanalysen und -prognosen
    6.02 Produktpositionierung
    6.03 Langfristplanung; Zielvorgaben
    6.04 Preisgestaltung
    6.05 Vertrieb
    6.05.1 Eigener Verkaufsstab
    6.05.2 Distribution
    6.05.3 Verkaufsargumente
    6.05.4 Importabwicklung

    6.06 After-Sales-Service
    6.07 Werbung, Verkaufsförderung und Öffentlichkeitsarbeit (PR)
    (Kommunikations-Submix)
    6.08 Lokale Geschäftsführung; Personalführung und Motivation
    6.09 Interne Organisation (Ablauforganisation)
    6.10 Permanente Aufgaben des Stammhauses in Deutschland/Europa
    6.11 Beschaffung und (Teil-)Fertigung in Ostasien
    – auch speziell für die mittleren Volumenmärkte? –
    6.12 Vorgehen gegen Überregulierung / NTBs im Zielmarkt

  7. Fertigungs-Joint-Venture mit Europäern in Ostasien

    7.1 Nach Japan verkaufen, aber wo fertigen?
    7.2 Was bringt der deutsche Hersteller ein?
    7.3 Standort- und Partnersuche
    7.4 Checkliste für die Gründung eines Fertigungs-Joint-Venture (Tabelle)

  8. Nachwort

  9. Anhang: Japanische soziokulturelle Begriffe (incl. KANJIs)

    Abbildungsverzeichnis

    Stichwortverzeichnis

Abbildungen aus dem Buch

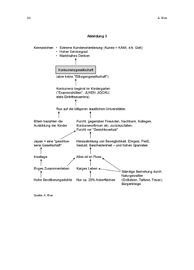
"Konkurrenzgesellschaft", Abbildung 3, Seite 10

als PDF herunterladen

"Motivation", Abbildung 7, Seite 18

als PDF herunterladen

"Bausteine der japanischen Unternehmensführung", Abbildung 9, Seite 20

als PDF herunterladen

"Kommunikation Mutterhaus - Japan-Büro - Kunden ", Abbildung 14, Seite 44

als PDF herunterladen

"Für regionale Fertigung in Ostasien: Planungsablauf für Standort- und Partnersuche (vereinfacht)", Abbildung 19, Seiten 88-89

als PDF herunterladen

Japan-Seminar

Japan-Seminar (Ablauf als Beispiel) als PDF herunterladen

Die Kontaktdaten des Autors sind im Dokument enthalten.

  • Auslandsbüro
  • Ausländische Direktinvestitionen
  • Geschichte
  • Geschäftsalltag
  • Geschäftsbeziehungen
  • Interkulturelles Management
  • Japan
  • Japanische Gesellschaft
  • Joint-Venture
  • Kultur
  • Management
  • Marketing von Investitionsgütern
  • Mentalität
  • Motivation
  • Niederlassung
  • Servicebüro